FIR lodged against K-P CM for ‘misleading, intimidating’ remarks
NCCIA inquiry found the accused “deliberately” issued offensive, and defamatory statements against state institutions

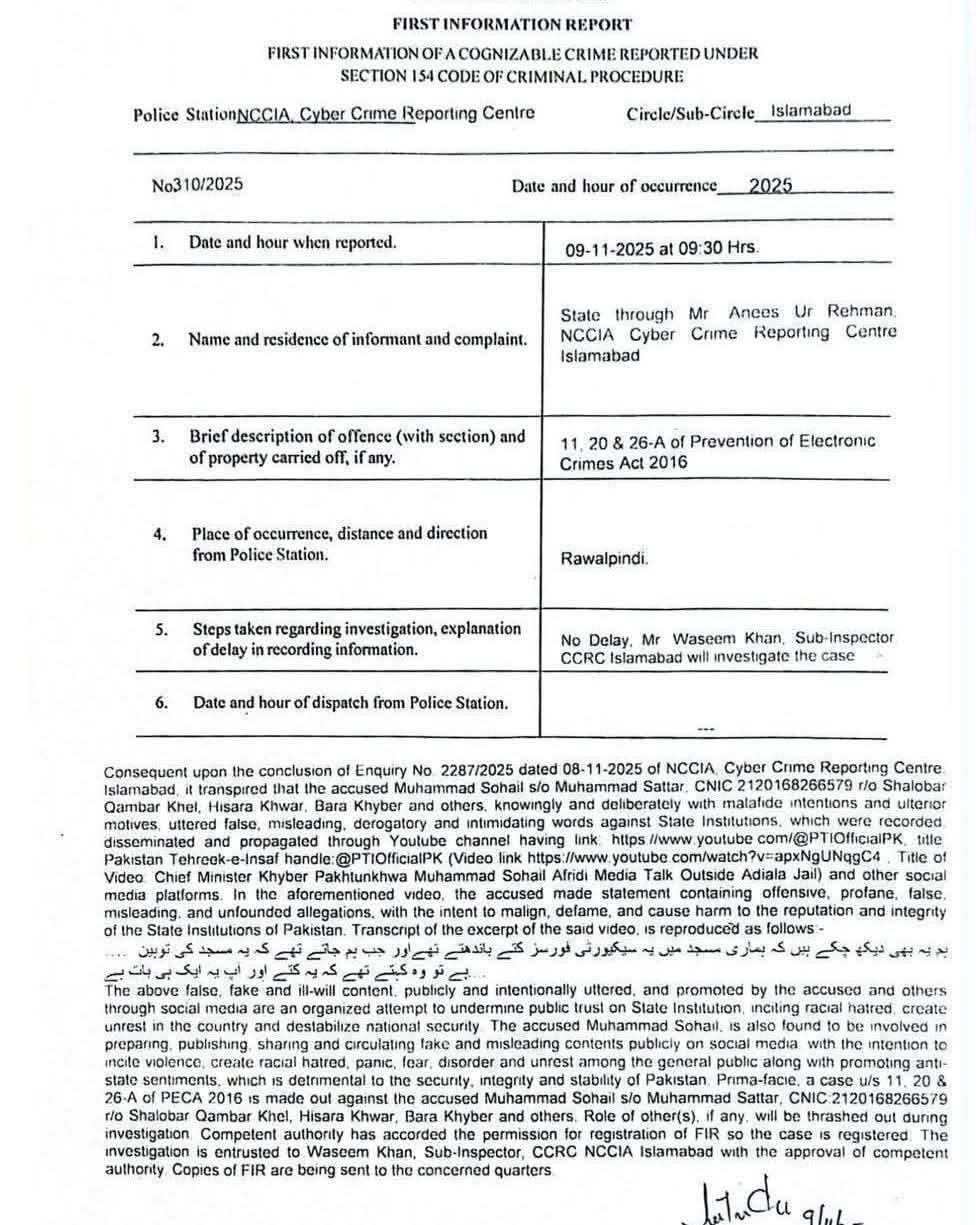
The National Cyber Crime Investigation Agency (NCCIA) has registered a case against Khyber-Pakhtunkhwa Chief Minister Sohail Afridi for allegedly making “false, misleading, derogatory, and intimidating” remarks against state institutions, according to an FIR filed under the Prevention of Electronic Crimes Act (PECA) 2016.
The FIR has been lodged against Muhammad Sohail, son of Muhammad Sattar, a resident of Bara, Khyber, under sections 11, 20, and 26-A of PECA. The registration follows the conclusion of an inquiry, which was completed on November 8, 2025.
The inquiry found that the accused “knowingly and deliberately used malicious intent” to issue statements deemed offensive and defamatory towards state institutions. These remarks were disseminated through social media platforms, including a YouTube channel associated with the Pakistan Tehreek-e-Insaf (PTI) media network.

The video in question, titled “Chief Minister Khyber-Pakhtunkhwa Muhammad Sohail Afridi media talk outside Adiala jail,” allegedly featured statements described in the FIR as “profane,” “unfounded,” and intended to malign the reputation and integrity of state institutions.
According to the FIR, the content was shared publicly with the intent “to undermine public trust in state institutions, incite racial hatred, create unrest, and destabilize national security.” It further states that Muhammad Sohail “prepared, published, and circulated misleading content” aimed at provoking “violence, panic, fear, disorder, and unrest among the public.”
The case is being investigated by Sub-Inspector Waseem Khan of the Cyber Crime Reporting Centre (CCRC) Islamabad, with formal approval from relevant authorities.
A senior officer, speaking to Express on condition of anonymity, confirmed that the CM Afridi, has been named in an FIR over a controversial statement. The investigation has been assigned to Sub-Inspector Waseem Khan of the National Cyber Crime Investigation Agency, who is scheduled to formally begin inquiries on Monday.
Speaking to reporters outside Adiala Jail, CM Afridi said that both civilians and security personnel were bearing the brunt of state policy. “My civilians are dying, and the soldier who is dying is also my brother. Both are becoming martyrs because of wrong policy decisions,” he said.
He said that decisions concerning the province should not be taken without consultation with those directly affected. “We object to this policy that decisions should not be made in closed rooms. The stakeholders of K-P should be taken into confidence on these matters.”
Read: K-P CM Afridi's remarks spark backlash
Recalling past experiences of conflict in the tribal belt, the chief minister said, “You are talking about military operations, do you know how much pain comes from military operations? Are you aware of this? I am, I have experienced it. I have personally lifted the bodies of ten members of my family with my own hands.”
He went on to allege that, during earlier operations, ordinary citizens had faced severe hardship. “When we used to lift bodies, the security forces used to fire at us. They have seen those scenes. We have seen our mosques become martyrs. We have seen our houses destroyed. When they were evicted from their homes, our tribal women were walking on the roads bare-headed and barefoot.”






















COMMENTS
Comments are moderated and generally will be posted if they are on-topic and not abusive.
For more information, please see our Comments FAQ